LEI Nº 9.487, de 19 de janeiro de 1994

Procedência: Governamental

Natureza –PL. 591/93

DO. 14.856 de 19/01/94

Link para a pesquisa das Leis:

Alterada pelas Leis: 10.251/96; LC 323/06; LC 324/06; LC 325/06; LC 326/06; LC 327/06; LC 328/06; LC 329/06; LC 330/06; LC 331/06; LC 332/06; LC 346/06; LC 347/06; LC 348/06; LC 349/06; LC 350/06; LC 351/06; LC 352/06; LC 353/06; LC 354/06; LC 355/06; LC 356/06; LC 357/06; LC 362/06

Ver LC 222/02; 13.708/06; LC 342/06

Revogada parcialmente pela LC 322/06

Fonte: ALESC/Div. Documentação

Institui Gratificação de Produtividade para os servidores do Departamento de Edificações e Obras Hidráulicas - DEOH e dá outras providências.

O GOVERNADOR DO ESTADO DE SANTA CATARINA,

Faço saber a todos os habitantes deste Estado que a Assembléia Legislativa decreta e eu sanciono a seguinte Lei:

Art. 1º Fica instituída a Gratificação de Produtividade para os servidores lotados e em efetivo exercício no Departamento de Edificações e Obras Hidráulicas - DEOH.

Parágrafo único. A gratificação que trata o “caput” deste artigo será paga, também, aos servidores do Departamento de Obras de Hidráulicas - DEOH, em exercício na Secretaria de Estado dos Transportes e Obras.

LC 323/06 (Art. 92.) – (DO. 17.835 de 02/03/06)

“Ficam extintas e absorvidas pelo valor de vencimento fixado por esta Lei Complementar as seguintes vantagens pecuniárias:

................................................................................................................................

VII - gratificação de produtividade prevista na Lei nº 9.486, de 19 de janeiro de 1994, Lei nº 9.487, de 19 de janeiro de 1994, e Lei nº 9.751, de 6 de dezembro de 1994, com as alterações posteriores.”

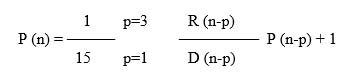
Art. 2º O valor da gratificação instituída pelo artigo 1º desta Lei será fixado anualmente, tendo por base as receitas e as despesas do Departamento de Edificações e Obras Hidráulicas - DEOH e do extinto Departamento Autônomo de Edificações - DAE, nos 03 (três) anos imediatamente anteriores, com vigência a partir do mês de junho do ano de apuração até o mês de maio do ano subsequente, pelo coeficiente de produtividade determinado pela seguinte expressão.

 

 

onde:

P (n) = coeficiente de produtividade calculado para o ano “n” em seu valor máximo.

R (n-p) = coeficiente da receita orçamentária mais depósitos especiais apurados nos balanços do ano “n-p”.

D (n-p) = total das despesas com Pessoal Civil, Encargos Sociais, Salário-Família e Contribuição para Formação do Patrimônio Público apuradas no balanço do “n-p”.

§ 1º Para efeito de cálculo da expressão prevista neste artigo, a variável “P(n)” será considerada com valor igual a 0 (zero) para os anos de 1989 a 1991 inclusive.

§ 2º Para efeito do cálculo do coeficiente de produtividade (“P(n)”) previsto neste artigo, para os anos de 1993 e 1994, serão consideradas as receitas e despesas do extinto Departamento Autônomo de Edificações – DAE, nos 03 (três) últimos orçamentos.

§ 3º Para efeito de cálculo do coeficiente de produtividade ("P(n)") previsto neste artigo, para o ano de 1995, serão consideradas as receitas e despesas dos 02 (dois) últimos orçamentos do ex-DAE e do orçamento DEOH do ano de 1994.

§ 4º Para efeito de cálculo do coeficiente de produtividade (“P(n)”) previsto neste artigo, para o ano de1996, serão consideradas as receitas e despesas do último orçamento do ex-DAE e dos orçamentos do DEOH dos anos de 1994 e 1995.

§ 5º A partir do ano de 1997, para cálculo do coeficiente de produtividade (“P(n)”) de que trata este artigo, serão consideradas as receitas e despesas dos 03 (três) últimos orçamentos anuais do DEOH.

§ 6º A gratificação instituída por esta Lei, será paga mensalmente, mediante a aplicação do coeficiente de produtividade apurado na fórmula prevista neste artigo sobre a base de cálculo estipulado no art. 3°.

LEI 10.251/96 (Art. 1º) – (DO 15.554 de 13/11/96)

“Os artigos ... 2º da Lei nº 9.485, de 19 de janeiro de 1994 ... passam a vigorar com a seguinte redação:

Art. 2º A produtividade prevista no artigo anterior é fixada no coeficiente de 1,20 (um inteiro e vinte centésimos).

§ 1º O coeficiente de que trata este artigo poderá atingir até 1,70 (um inteiro e setenta centésimos) quando o dispêndio com pessoal, inclusive encargos patronais, não ultrapassar a 60% (sessenta por cento) do total das receitas apuradas no balancete do órgão do mês imediatamente anterior ao da apuração, ou ainda quando a medida se justificar pela auto-suficiência no desempenho das atribuições afetas ao respectivo órgão.

§ 2º Na hipótese prevista no parágrafo anterior, o Chefe do Poder Executivo definirá os critérios para a fixação do coeficiente de produtividade até o limite estabelecido.”

LC 322/06 (Art. 14.) – (DO. 17.835 de 02/03/06)

“Ficam revogados o ... o art. 2º da Lei nº 9.487, de 19 de janeiro de 1994 ... ”

OBS.: Todas as Leis abaixo mencionadas recebem a mesma alteração

LC 324/06 (Art. 17.) – (DO. 17.835 de 02/03/06)

LC 325/06 (Art. 17.) – (DO. 17.835 de 02/03/06)

LC 326/06 (Art. 17.) – (DO. 17.835 de 02/03/06)

LC 327/06 (Art. 17.) – (DO. 17.835 de 02/03/06)

LC 328/06 (Art. 17.) – (DO. 17.835 de 02/03/06)

LC 329/06 (Art. 17.) – (DO. 17.835 de 02/03/06)

LC 330/06 (Art. 17.) – (DO. 17.835 de 02/03/06)

LC 331/06 (Art. 17.) – (DO. 17.835 de 02/03/06)

LC 332/06 (Art. 17.) – (DO. 17.835 de 02/03/06)

LC 346/06 (Art. 17.) – (DO. 17.869 de 25/04/06)

LC 347/06 (Art. 17.) – (DO. 17.869 de 25/04/06)

LC 348/06 (Art. 17.) – (DO. 17.869 de 25/04/06)

LC 349/06 (Art. 17.) – (DO. 17.869 de 25/04/06)

LC 350/06 (Art. 17.) – (DO. 17.869 de 25/04/06)

LC 351/06 (Art. 17.) – (DO. 17.869 de 25/04/06)

LC 352/06 (Art. 17.) – (DO. 17.869 de 25/04/06)

LC 353/06 (Art. 17.) – (DO. 17.869 de 25/04/06)

LC 354/06 (Art. 17.) – (DO. 17.869 de 25/04/06)

LC 355/06 (Art. 17.) – (DO. 17.869 de 25/04/06)

LC 356/06 (Art. 17.) – (DO. 17.869 de 25/04/06)

LC 357/06 (Art. 17.) – (DO. 17.869 de 25/04/06)

LC 362/06 (Art. 17.) – (DO. 17.914 de 30/06/06)

“Os valores de vencimento das Classes, Níveis e Referências são os fixados no Anexo IV, parte integrante desta Lei Complementar que passam a vigorar a partir de 1º de abril de 2006.

§ 1º A partir da data fixada no caput deste artigo, ficam extintos e incorporados aos valores de vencimento:

...............................................................................................................................

IV - gratificações de produtividade previstas nos arts. 2º da Lei nº 9.184, de 2 de agosto de 1993, 2º da Lei nº 9.335, de 30 de novembro de 1993, 2º da Lei nº 9.483, de 19 de janeiro de 1994, 2º da Lei nº 9.484, de 19 de janeiro de 1994, 2º da Lei nº 9.485, de 19 de janeiro de 1994, 2º da Lei nº 9.486, de 19 de janeiro de 1994, 2º da Lei nº 9.487, de 19 de janeiro de 1994, 2º da Lei nº 9.488, de 19 de janeiro de 1994, e 3º da Lei nº 9.751, de 06 de dezembro de 1994;

.............................................................................................................................”

Art. 3º O coeficiente apurado pela fórmula estabelecida no artigo anterior incidirá, para determinação do valor da Gratificação de Produtividade, sobre o valor do vencimento do cargo de provimento efetivo, acrescido da Gratificação de Atividade no Serviço Público, da vantagem instituída pela Lei nº 8.065, de 13 de setembro de 1990, e da Função Executiva de Confiança.

Parágrafo único. Fica vedada a aplicação do coeficiente de produtividade sobre quaisquer outras vantagens, sobre valores referentes à incorporação decorrentes do exercício de cargo em comissão e/ou função gratificada e de aplicação do art. 91, da Lei nº 6.745, de 28 de dezembro de 1985.

Art. 4º Sobre a Gratificação de Produtividade instituída por esta Lei incide apenas e tão somente o adicional por tempo de serviço, sendo vedado utilizar essa gratificação como base de cálculo de quaisquer outras vantagens.

Art. 5º O disposto nesta Lei se aplica aos servidores inativos e pensionistas do DEOH.

Art. 6º As despesas decorrentes da aplicação desta Lei correrão à conta das dotações próprias do DEOH.

Art. 7º Esta Lei entra em vigor na data de sua publicação.

Art. 8º Revogam-se as disposições em contrário.

Florianópolis, 19 de janeiro de 1994.

VILSON PEDRO KLEINUBING

Governador do Estado